Additions and Corrections
A simple gE-model for generating all basic types of binary liquidliquid equilibria and their pressure dependence. Thermodynamic constraints at critical loci
Luis P. N. Rebelo
Phys. Chem. Chem. Phys., 1999, 1, 4277. Amendment published 23rd November 1999
The caption to Fig. 2 should read:
Fig. 2 Three-dimensional representation and (T,x) and (p,x) projections of the basic four types of binary LL phase diagrams (schematic, adapted from ref. 1), of which actual experimental cases can be recognised as cases corresponding to a small part (or cut) of these more global figures. The dotted areas represent the two-phase regions. Types 2 and 4 may not exist; they share a closed-loop type of (p,x) cross-section. It should be noted that the numbering of each type of diagram neither aims to propose any nomenclature nor is related to well-established ones.4,6
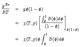
Eqn. (28) should read:

The Royal Society of Chemistry apologises for these errors and any consequent inconvenience to authors and readers.