| Phys. Chem. Chem. Phys., 2008, 10 | |
Additions and corrections Extended Förster theory for determining intraprotein distances Part III. Partial donor–donor energy migration among reorienting fluorophores |
N. Norlin, P. Håkansson, P.-O. Westlund and L. B.-Å. Johansson
Phys. Chem. Chem. Phys., 2008,
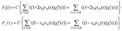
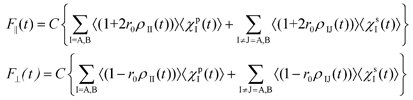
The fundamental anisotropy (r0) was missing from eqn (24) and (25). The corrected equations are given below:
Eqn (24):

Eqn (25):

The Royal Society of Chemistry apologises for these errors and any consequent inconvenience to authors and readers.