| J. Environ. Monit., 2001, 3 | |
Additions and corrections A proficiency testing scheme for aromatic hydrocarbons in air by the manual thermal desorption-GC method: a comparison of laboratory performance with the uncertainty requirements of the European Union Ambient Air Directive
|
Peter R. Stacey and Michael D. Wright
J. Environ. Monit., 2001, 3, 425 (DOI: 10.1039/b101351n). Amendment published 8th August 2001
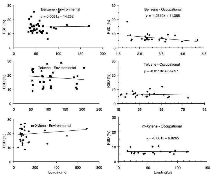
In Fig. 2 the x-axis for the environmental levels should have the units ng not as printed (µg). A correct version of the figure is given below.

The Royal Society of Chemistry apologises for these errors and any consequent inconvenience to authors and readers.